使用振动台做正弦和随机试验如何计算推力?
企业使用振动台做振动试验,一般情况使用比较多的普遍是正弦振动试验和随机振动试验,那它的原理和推力计算是怎么样的呢,下面由剑乔仪器小编为大家讲解下,有什么不懂的欢迎随时联系我们!
振动试验,是指评定产品在预期的使用环境中抗振能力,对受振动的实物或模型进行的试验,振动试验原理示意图如下图所示。

根据施加的振动载荷的类型,把振动试验分为正弦振动试验和随机振动试验两种。本文主要对正弦扫频和随机振动试验常用公式进行推导。

一 正弦扫频试验
1. 振动台推力计算

式中,F 为推力 (N);m0 为振动台运动部分有效质量 (kg);m1 为辅助台面质量 (kg);m2 为试件(包括夹具、安装螺钉)质量 (kg);A 为试验加速度 (m/s²)。
2. 加速度 (A)、速度 (V)、位移 (D),三个振动参数的互换运算公式

式中,A 为试验加速度 (m/s²);V 为试验速度 (m/s);ω=2πf(角速度),f 为试验频率 (Hz)。

式中,V 和ω 与上式同义,D 为位移 (mm0-p) 单峰值。

式中,A、D 与以上同义,该公式亦可简化为:

式中,,A 的单位为g,1g=9.8m/s²。所以

这时A 的单位为m/s²。
3. 定振级扫频试验平滑交越点频率的计算公式
加速度与速度平滑交越点频率的计算公式:

式中,fA-V 为加速度与速度平滑交越点频率 (Hz)。(A 和V 与前面同义)
速度与位移平滑交越点频率的计算公式:

式中,fV-D 为加速度与速度平滑交越点频率 (Hz)。(V 和D 与前面同义)。
加速度与位移平滑交越点频率的计算公式:

式中,fA-D 为加速度与位移平滑交越点频率 (Hz),A 的单位是m/s²。
4. 扫描时间和扫描速率的计算公式
线性扫描比较简单

式中,S1 为扫描时间 (s 或 min);fH-fL 为扫描宽带,其中fH 为上限频率,fL 为下限频率 (Hz);V1 为扫描速率 (Hz/min 或 Hz/s)。
对数扫频,倍频程的计算公式如下所示:

式中,n 为倍频程 (oct);fH 为上限频率 (Hz);fL 为下限频率 (Hz)。
扫描速率计算公式

式中,R 为扫描速率 (oct/min 或 oct/s);fH 为上限频率 (Hz),fL 为下限频率 (Hz);T 为扫描时间。
扫描时间计算公式

式中,T 为扫描时间 (min 或 s);n 为倍频程 (oct);R 为扫描速率 (oct/min 或 oct/s)。
二 随机振动试验
1. 频率分辨率计算公式

式中,△f 为频率分辨力 (Hz);fmax 为最高控制频率;N 为谱线数(线数);fmax是△f 的整倍数。
2. 随机振动加速度总均方根值的计算

功率谱密度曲线图
平直谱计算公式

升谱计算公式

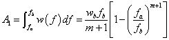
降谱计算公式

式中,m=N/3,N 为谱线的斜率 (dB/octive)。加速度总均方根值:

利用升谱公式计算得:

利用平直谱公式计算得:

利用降谱公式计算得:

利用加速度总均方根值公式计算得:

3. 利用曲线围成面积,计算加速度总均方根值

功率谱密度曲线图
为了简便起见,往往将功率谱密度曲线图划分成若干矩形和三角形,并利用上升斜率(如3dB/oct)和下降斜率(如-6dB/oct)分别算出wa 和w2,然后求各个几何形状的面积与面积和,再开方求出加速度总均方根值。

注意:这种计算方法的结果往往比用升降谱计算结果要大,作为大概估算可用,但要精确计算就不能用。
举例:
设w=wb+w1=0.2g²/Hz,fa=10Hz,fb=20Hz,f1=1000Hz,f2=2000Hz,由于fa 的wa 升至fb 的wb 处,斜率是3dB/oct,而wb=0.2g²/Hz,所以wa=0.1g²/Hz。
又由于f1 的w1 降至f2 的w2 处,斜率是-6dB/oct,而w1=0.2g²/Hz。所以w2=0.05g²/Hz,将功率谱密度曲线划分成三个长方形 (A1、A2、A3) 和两个三角形 (A4、A5),再分别求出各几何形的面积,则





加速度总均方根值

4. 求加速度功率谱密度斜率 (dB/oct) 公式

式中:
,wH 为频率fH 处的加速度功率谱密度值 (g²/Hz),wL 为频率fL 处的加速度功率谱密度值(g²/Hz)。







